合作客戶/
拜耳公司 |
同濟大學 |
聯合大學 |
美國保潔 |
美國強生 |
瑞士羅氏 |
相關新聞Info
-
> 固體、鹽溶液表面張力測量及與其在潔凈硅橡膠表面接觸角的關系研究(一)
> CO2泡沫穩定性原理、影響因素|CO2-EOR機理與應用前景(一)
> 超微量天平測定粗鉍中金、銀含量,精密度高、準確度好
> 側鏈烷基的飽和度對腰果酚磺酸鹽水溶液的表面活性、界面活性的影響
> 考慮界面張力、液滴尺寸和液滴變形影響的攜液臨界模型構建(二)
> 微納米顆粒三相泡沫體系的溶液特性、界面性能和驅油效果(二)
> 清洗劑的六大作用,哪個作用原理與表面張力有關?
> 棕櫚酸酯淀粉糊液理化性質及替代洗衣粉配方中的LAS去污系數研究(一)
> 單片機智能控制的液體表面張力測量儀設計
> Sb合金元素對鋅液與X80鋼表面張力、潤濕性及界面反應的影響——實驗
推薦新聞Info
-
> 超低界面張力環保型高溫高鹽油藏的驅油表面活性劑配方比例及制備(二)
> 超低界面張力環保型高溫高鹽油藏的驅油表面活性劑配方比例及制備(一)
> 表面張力和接觸角的關系|寶玉石接觸角的測量結果和表面張力計算方法(三)
> 表面張力和接觸角的關系|寶玉石接觸角的測量結果和表面張力計算方法(二)
> 表面張力和接觸角的關系|寶玉石接觸角的測量結果和表面張力計算方法(一)
> 表面張力儀系統測定:溫度范圍內甲基九氟丁醚的液相密度與表面張力
> 一套低溫、高壓懸滴法表面張力實驗測量系統實踐效果(三)
> 一套低溫、高壓懸滴法表面張力實驗測量系統實踐效果(二)
> 一套低溫、高壓懸滴法表面張力實驗測量系統實踐效果(一)
> 不同溫度下純有機物液體表面張力估算方法及關聯方程(二)
十二胺功能化石墨烯量子點的制備、表面張力及對L-薄荷醇的緩釋作用(三)
來源:高等學校化學學報 瀏覽 130 次 發布時間:2025-10-31
2.4負載型樣品表征
以DA-GQD為顆粒乳化劑、L-薄荷醇(熱熔)為油相制備的Pickering乳液的光學顯微鏡照片(OM)如圖5(A)所示。從圖5(A)可以看出,Pickering乳滴粒徑約為10μm,具有規則統一的球形形貌。由于DA-GQD具有較高的親水性,因此傾向于形成穩定的水包油型乳液。DA-GQD固體顆粒分散在薄荷醇/水界面,這是因為液-液界面的一部分被液-顆粒界面代替時總界面能降低,L-薄荷醇被微小的石墨烯片覆蓋,位于液滴的中心。
圖5(B)是Pickering乳液法制備得到的負載L-薄荷醇的石墨烯量子點樣品的SEM照片,從圖5(B)可以看出,負載型樣品呈規則的球形,粒徑分布均勻,平均粒徑約為10μm。由于具有兩親結構的DA-GQD在薄荷醇/水界面上的自組裝導致薄荷醇球形表面具有一層疏松的殼層,這個殼層的存在對于薄荷醇的緩釋至關重要。通過改變Pickering乳液中DA-GQD的濃度可以調節殼層的分布和厚度,從而對薄荷醇的緩釋行為進行有效調控。
2.5薄荷醇的釋放動力學
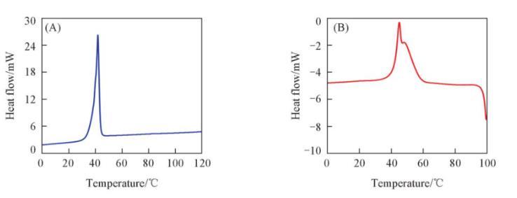
圖6(A)和(B)分別為空白樣品與負載型樣品的示差掃描量熱(DSC)曲線。從圖6(A)可以看出,L-薄荷醇樣品在大約42℃左右出現一個尖銳的吸熱峰,對應于L-薄荷醇的熔點。而負載型樣品則出現了兩個吸熱峰[圖6(B)],其中第一個峰主要是由生長在DA-GQD外表面的薄荷醇小晶體融化引起的,而第二個峰主要是由DA-GQD包覆的薄荷醇小晶體融化引起的。這與劉紹華等的研究結果相類似。
進一步研究了在不同溫度的空氣吹掃作用下負載型樣品中薄荷醇的釋放行為。從圖7(A)可以看出,30℃空氣吹掃下,5個樣品逐漸釋放薄荷醇,其中空白(曲線a)的釋放速率顯著高于其它樣品。DA-GQD混合樣品和GA-GQD(1.0%)在前10 h釋放薄荷醇的差別比較小,釋放速率分別為17.7%和12.4%。然而,隨著時間的延長,混合型樣品負載樣品b的釋放速率越來越快,87 h后樣品的釋放率達81.7%,而此時負載型樣品DA-GQD(1.0%),DA-GQD(5.0%)和DA-GQD(10.0%)的釋放率分別為51.2%,34.8%和28.7%。這說明DA-GQD對薄荷醇的釋放具有較好的抑制作用,且DA-GQD的濃度越大,負載型樣品的緩釋效果越好。
當采用80℃空氣吹掃時,5個樣品的薄荷醇釋放速率都顯著加快,彼此間的差異也更明顯[圖7(B)]。空白樣品在2.5 h時即達到完全釋放。混合型樣品在2.5 h時的釋放率達91.4%,并在5 h后達到完全釋放。而負載型樣品DA-GQD(1.0%)與前兩者的差別在釋放初期就明顯體現出來,其釋放率在2.5 h時僅為12.5%,5 h之后為23.5%,遠遠低于空白樣品與混合型樣品;隨著時間的延長,樣品DA-GQD(1.0%)逐漸釋放薄荷醇,經過23 h的高溫空氣吹掃后薄荷醇完全釋放。可見,在高溫(80℃)吹掃下,相同質量的負載型樣品完全釋放薄荷醇所需要的時間顯著長于空白樣品與混合型樣品,分別是其9.2倍與4.6倍,從而進一步證明了DA-GQD對于薄荷醇的釋放具有較好的抑制作用。原因可能是石墨烯量子點含有豐富的功能基團(如羥基和羧基),可與L-薄荷醇中的羥基產生氫鍵作用,從而使負載型樣品中的薄荷醇具有良好的緩慢釋放行為。
白家峰等采用聚多巴胺(PDA)修飾的介孔二氧化硅微球負載L-薄荷醇,發現PDA涂層有利于薄荷醇的可控緩慢釋放,在30℃空氣吹掃作用下,負載樣品中的薄荷醇在25 h后幾乎釋放完全;而在80℃空氣吹掃作用下,負載樣品中的薄荷醇在100 min后接近完全釋放。可見,本研究制得的負載體系具有較優的長效緩釋性能。
3結論
以檸檬酸為前驅體、十二胺為功能化試劑,采用一步熱解法制備的十二胺功能化石墨烯量子點(DA-GQD)具有優異的表面活性;以此雙親性石墨烯量子點為顆粒乳化劑、熱熔L-薄荷醇為油相制備Pickering乳液,冷卻至室溫后析出負載L-薄荷醇的石墨烯量子點。不同溫度下吹掃研究發現,在較寬的溫度范圍內,負載型樣品顯示出良好的緩釋性能,通過控制Pickering乳液中DA-GQD的濃度可以有效調控薄荷醇的釋放速率。這種新穎的制備工藝可為設計開發醫藥和煙草等領域的高性能負載型薄荷醇制品提供新思路。





